2015年执业药师《药学知识一》强化模拟仿真试题7

第 91 题

丙磺舒的鉴别反应是()

A.与硫酸铜试液的反应

B.水解后FeCl3反应

C.硫酸盐反应

D.重氮化.偶合反应

E.麦芽酚反应

正确答案:C,

第 92 题

竞争性抑制鸟嘌呤进入DNA分子,干扰真菌核酸合成的是()

A.乙胺嗪

B.吡喹酮

C.乙胺嘧啶

D.灰黄霉素

E.周效磺胺

正确答案:D,

第 93 题

肝素的抗凝血机制是()

A.抑制血小板聚集

B.加速抗凝血酶Ⅲ的作用

C.阻止维生素K再利用

D.激活纤溶酶

E.抑制磷酸二酯酶

正确答案:B,

第 94 题

药物分布的广泛程度()

A.表观分布容积

B.清除率

C.血浆半衰期

D.生物半衰期

E.生物利用度

正确答案:A,

第 95 题

舌下含化起效迅速的抗心绞痛药物是()

A.硝酸甘油

B.普萘洛尔

C.硝苯地平

D.尼莫地平

E.维拉帕米

正确答案:A,

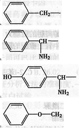
第 96 题

氨苄西林的化学结构中R基为()

E.-OCOCH3

正确答案:B,

第 97 题

抑制疟原虫二氢蝶酸合酶,阻碍核酸合成的是()

A.乙胺嗪

B.吡喹酮

C.乙胺嘧啶

D.灰黄霉素

E.磺胺多辛

正确答案:E,

第 98 题

联合用药时所发生的体内或体外药物之间的相互影响称为()

A.协同作用

B.耐受性

C.副作用

D.药物相互作用

E.药物依赖性

正确答案:D,

第 99 题

常用的强抗炎镇痛药是()

A.阿司匹林

B.双氯芬酸

C.对乙酰氨基酚

D.非那西丁

E.萘普生

正确答案:B,

第 100 题

α()

A.比旋度

B.旋光度

C.光路长度

D.溶液的浓度

E.折光率

在公式中[α]D20=α/ld表示正确的是

正确答案:B,

第 101 题

甲状腺危象用()

A.甲状腺片

B.硫脲类

C.磺酰脲类

D.硫脲类+大剂量碘

E.放射碘

正确答案:D,

第 102 题

对变异型心绞痛效果好,但没有抗心律失常作用的是()

A.戈洛帕米

B.维拉帕米

C.硝苯地平

D.利多氟嗪

E.地尔硫(艹卓)

正确答案:C,

第 103 题

磺胺的抗菌机制是()

A.影响叶酸代谢

B.影响胞浆膜的通透性

C.抑制细菌细胞壁的合成

D.抑制蛋白质合成的全过程

E.抑制核酸合成

正确答案:A,

第 104 题

阿托品是()

A.治疗消化性溃疡的药物

B.可引起尿潴留的药物

C.滴眼引起调节痉挛的药物

D.M、N受体激动药

E.治疗重症肌无力的药物

正确答案:B,

第 105 题  含量测定()

A.对药品贮存与保管的基本要求

B.用规定方法测定有效成分含量

C.分为安全性、有效性、均一性和纯度等内容

D.判别药物的真伪

E.记叙药物的外观、臭、味、溶解度以及物理常数等

正确答案:B,

第 106 题

《中国药典》规定,盐酸吗啡原料的含量测定用()

A.非水滴定法

B.紫外分光光度法

C.酸性染料比色法

D.溴酸钾法

E.提取酸碱滴定法

正确答案:A,

学习平台
置顶
关闭